11:39
Задайте вопрос

Если у Вас есть вопросы - задавайте.

Сделать это можно прямо тут. Для этого Вам необходимо зарегистрироваться.

Или же написать на gaw4@ukr.net.

Если  вопрос решаем - Вы обязательно получите решение. 

 

Просмотров: 571 | Добавил: gawtol | Рейтинг: 0.0/0
Всего комментариев: 2
avatar
0
1 gawtol • 12:39, 03.01.2016
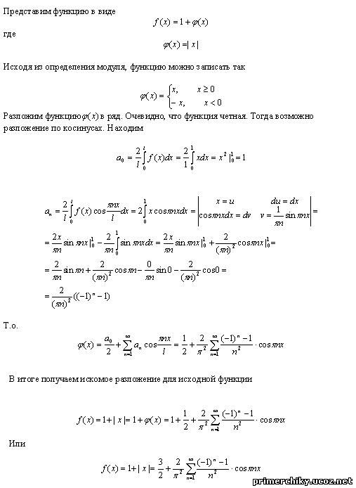
вопрос: разложить в ряд Фурье f(x)=1+|x|,      -1<x<1
ответ
avatar
0
2 gawtol • 12:44, 03.01.2016
вопрос: Вычислить длину дуги кривой, заданной параметрическимиуравнениями:
              x=4(cost+tsint)
              y=4(sint - tcost)         хє[0;2]
ответ:
avatar